Induction Math Examples

Example 5 Prove 1 X N 1 Nx Mathematical Induction

Proof Of Finite Arithmetic Series Formula By Induction

Proof By Induction Steps Examples Study Com

Mathematical Induction Wikipedia

Example 2 Prove 2n N Chapter 4 Mathematical Induction

Homework 5 Just Induction Math300 Uw Studocu

Behind Wolfram Alpha S Mathematical Induction Based Proof

Ncert Solutions For Class 11 Maths Chapter 4 Principle Of

Mathematical Induction Topics In Precalculus

Ee1j2 Slide 1 Ee1j2 Discrete Maths Lecture 12 Number

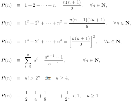
Mathematical Induction

0513 More Examples Math 22 Induction Examples Morriss

Mathematical Induction Part 2 Nicole Ling Brilliant

Mathematical Induction Tutorial
Mathematical Proof Methods Of Proof Proof By Induction
Comments
Post a Comment